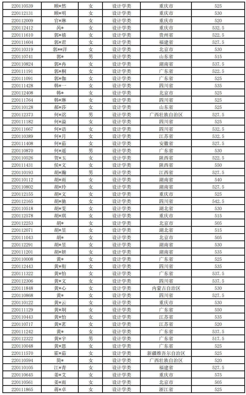
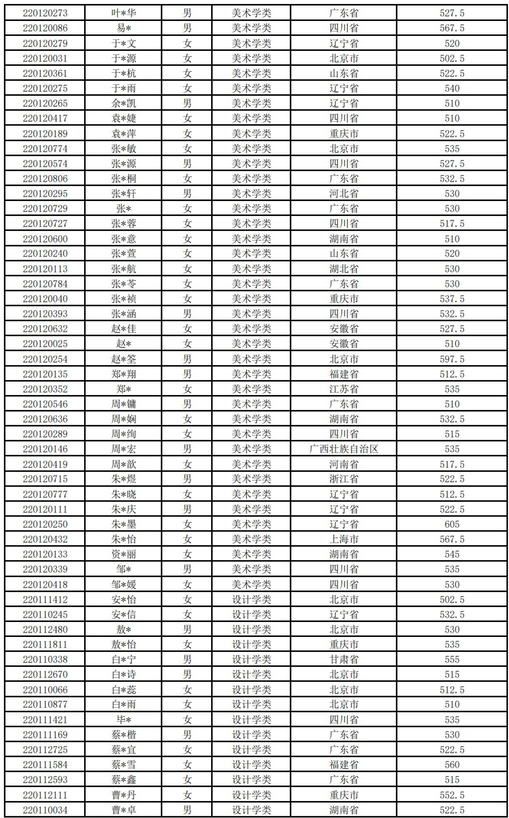
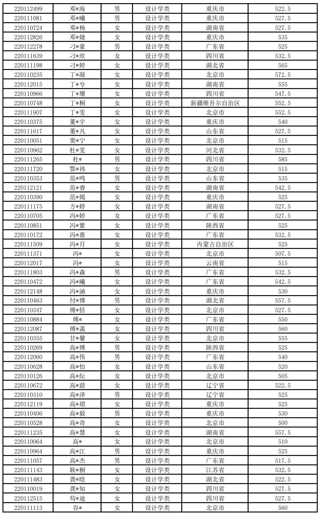
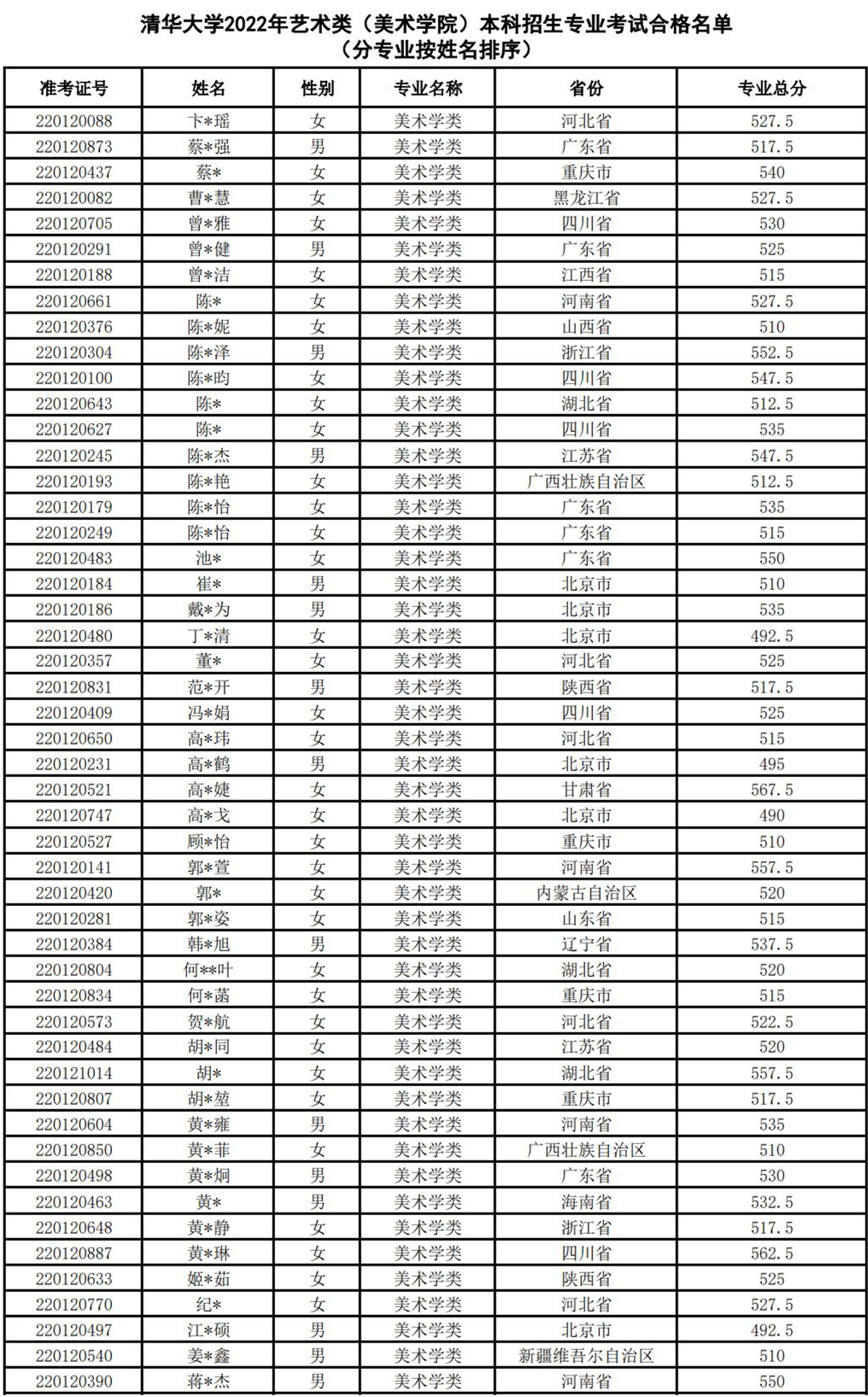
2022年清华大学美术学院艺术类专业考试合格名单已发布,北京admw360教研组为大家整理了名单详情,一起来看。
★招生班级:鸿志班、笃学班、翰林班
★招生对象:京籍全日制:高复生,京籍回京,高一至高二全日制
非京籍全日制:天津河北等省高考生,高一至高二全日制
★师 资:特聘海淀高中校长,教学管理,特邀海淀高考团队授课
★咨询电话:400-6168-182 010-62526900,
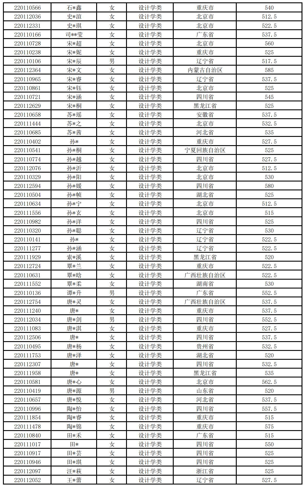
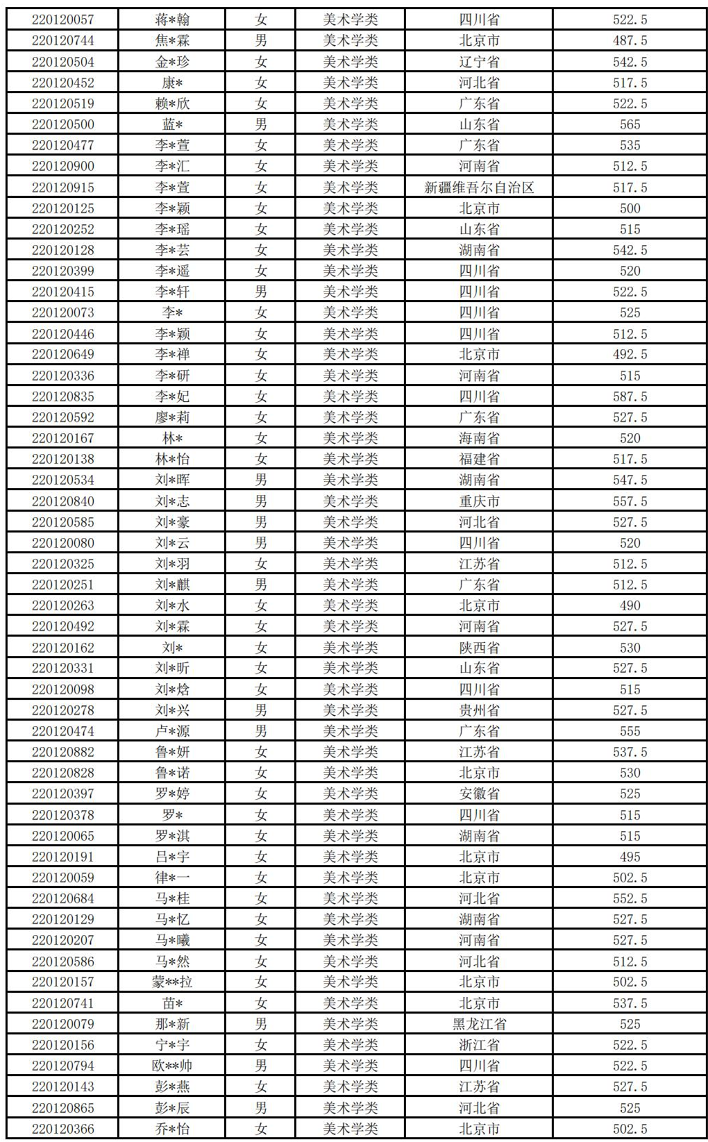
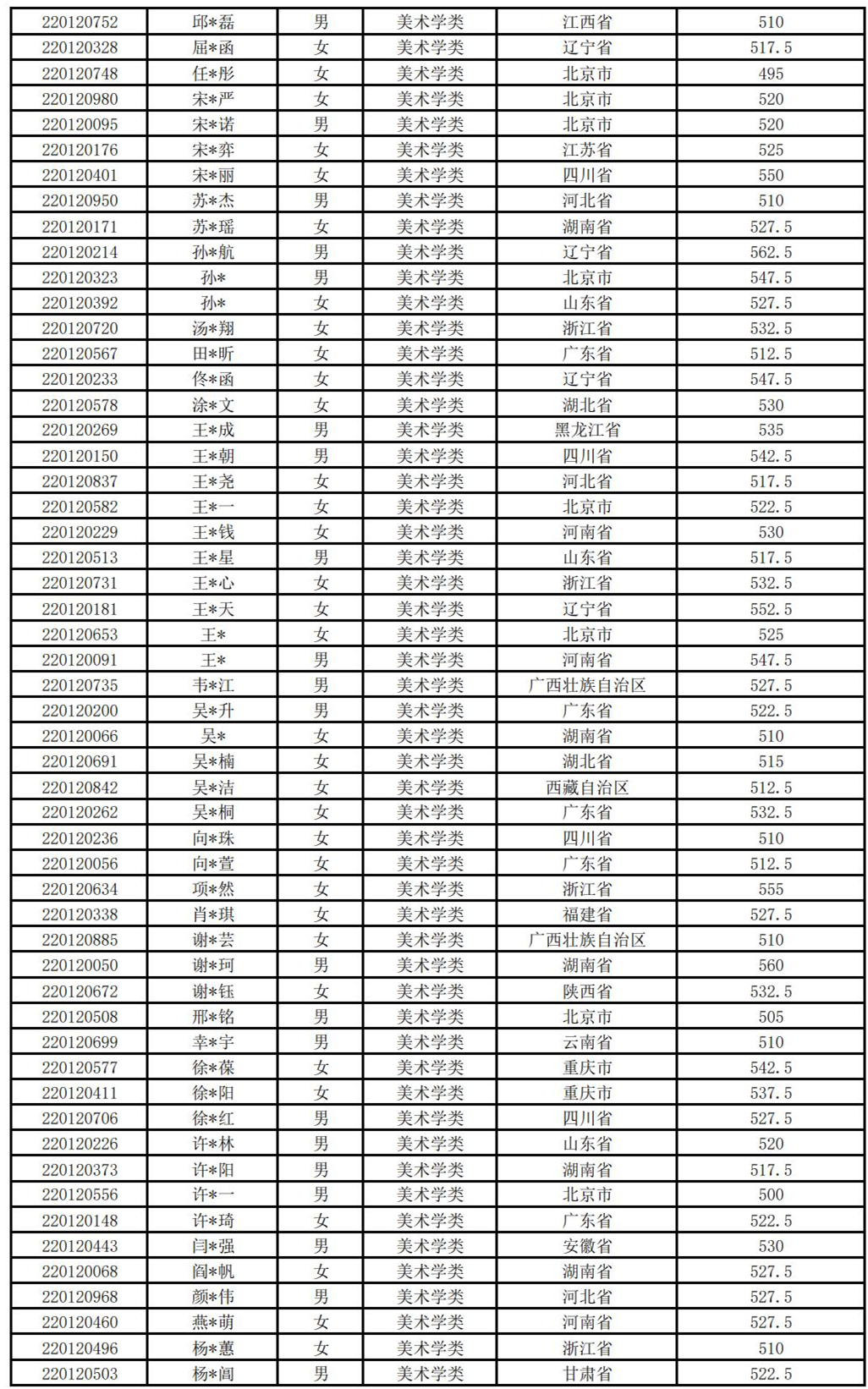
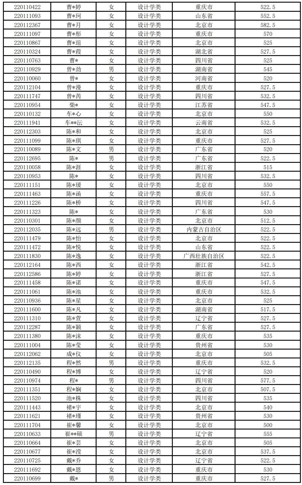
清华大学美术学院2022艺术类专业考试合格名单

公示期:2022年6月21日—2022年6月27日(5个工作日)
公示期间:单位和个人均可通过来电、来信,具名向美术学院或学校纪委反映公示对象有关情况。反映情况坚持实事求是的原则,具体真实,以便调查核实。
联系电话:010—62798170
电子邮箱:myzb@mail.tsinghua.edu.cn
清华大学招生办公室
清华大学美术学院
2022年6月21日
北京高考备考资料下载网入口>>>>>>>>>(点此进入)名校试题-–试卷解析—最新试题—考点汇总—知识点讲解
试题推荐:

点点在线ios版下载课程推荐:(报名热线:400-616818-2)
