2022年上海高考录取分数线和一分一段表公布!北京admw360教研组第一时间为大家整理了内容详情,一起来看。
★招生班级:鸿志班、笃学班、翰林班
★招生对象:京籍全日制:高复生,京籍回京,高一至高二全日制
非京籍全日制:天津河北等省高考生,高一至高二全日制
★师 资:特聘海淀高中校长,教学管理,特邀海淀高考团队授课
2022年上海市普通高校秋季招生本科各批次录取控制分数线

艺术类本科文化控制分数线是根据本科录取控制分数线的75%折算而成。体育类本科文化控制分数线是根据本科录取控制分数线的70%折算而成。
特殊类型招生控制分数线主要应用于部分招生项目的录取分数控制,例如:综合评价批次,高水平艺术团等特殊类型招生,教育部批准的军队、消防招生院校(海军军医大学、国防科技大学、武警海警学院、武警工程大学、武警警官学院、武警特种警察学院、空军航空大学、中国消防救援学院),采取综合评价方式进行招生的高校[北京外国语大学、南方科技大学、华南理工大学、香港中文大学(深圳)、深圳北理莫斯科大学、昆山杜克大学、上海科技大学、上海纽约大学],以及其他具有特殊要求的高校(专业)招生等[北京电子科技学院、北京航空航天大学(飞行技术专业)、香港中文大学、香港城市大学]。
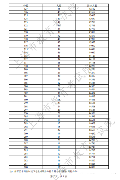
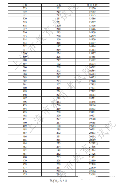
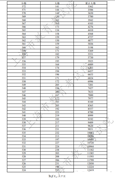
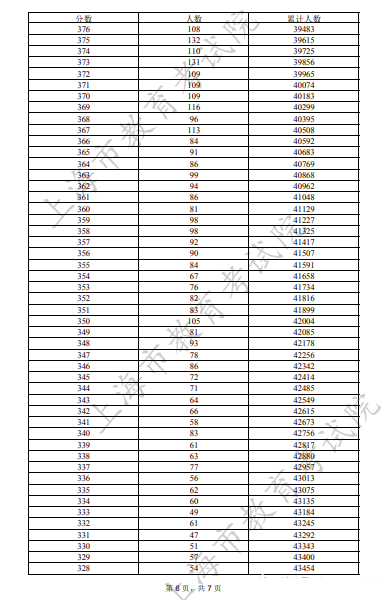
根据今年的一分一段表,本科上线人数36413人,比去年增加727人,但今年整体招生计划增幅是多于这个数字的。但是500分以上的人数比去年增加了1848人,具体如下:


北京高考备考资料下载网入口>>>>>>>>>(点此进入)名校试题-–试卷解析—最新试题—考点汇总—知识点讲解
试题推荐:

点点在线ios版下载课程推荐:(报名热线:400-616818-2)
