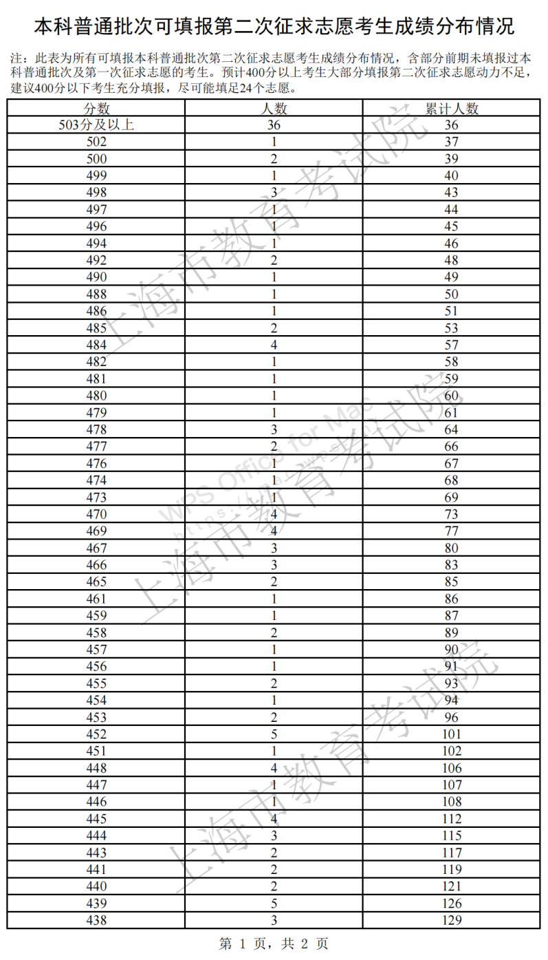
2022年上海高考第二次征求志愿缺额计划及成绩分布表公布!,北京admw360教研组整理了具体的分数,数据详情如下:
admw360高复,回京,高一至高三应届全日制选拔通知
★京籍高考复读生,应届回京生,京籍高一至高三应届JD生,可办理学籍; 非京籍高一至高三应届JD生。
★招生班级:鸿志班、笃学班、翰林班
★招生对象
京籍全日制:高复生,京籍回京应届,高一至高高三应届JD生,可解决应届生学籍
非京籍全日制:外地高一至高二应届借读生
★目 标:北大清华等985,211院校
★师 资:海淀高中校长,教学管理,特邀海淀高考团队授课。
★上课地址
海淀校区:走读全日制为主
昌平校区:全封闭住宿军事化管理。
★咨询电话:400-6168-182 010-62526900
本科普通批次第二次征求志愿将于8月20日上午10:00至晚上22:00、21日上午7:00至10:00进行填报。
本科普通批次可填报第二次征求志愿考生成绩分布情况

北京高考备考资料下载网入口>>>>>>>>>(点此进入)名校试题-–试卷解析—最新试题—考点汇总—知识点讲解
试题推荐:

点点在线ios版下载课程推荐:(报名热线:400-616818-2)
