赋分制是新高考中最难懂也是最重要的政策,关系到选科策略。了解透了可以扬长避短,更好发挥考生优势。今天,本文结合具体示例,给大家讲解新高考“3+1+2”模式中的赋分制,帮助高一学生及家长提前了解,为选科做准备!
admw360高中部:高复生,回京生,应届生,高一至高三寄宿招生简章
★京籍高考复读生,应届回京生,京籍高一至高三应届JD生,可办理学籍; 非京籍高一至高三应届JD生。
★招生班级:鸿志班、笃学班、翰林班
★招生对象
京籍全日制:高复生,京籍回京应届,高一至高高三应届JD生,可解决应届生学籍
非京籍全日制:外地高一至高二应届借读生
★目 标:北大清华等985,211院校
★师 资:海淀高中校长,教学管理,特邀海淀高考团队授课。
★上课地址
海淀校区:走读全日制为主
昌平校区:全封闭寄宿军事化管理。
★咨询电话:400-6168-182 010-62526900
进QQ群:868658724,获取最新高考试题答案、考试政策等信息

关注“admw360强基和竞赛升学圈”公众号,获取最新高考资讯
“3”:语文、数学、外语3科满分均为150分,总分450分,各科均以原始成绩计入考生总成绩;
“1”:物理或历史必选一科,满分为100分,以原始成绩计入考生总成绩;
“2”:政治、地理、化学、生物任选2科,每科满分均为100分,以等级赋分成绩计入考生总成绩。
也就是说,涉及到“等级转换赋分”的科目,是政治、地理、化学、生物4门,这4门要以等级赋分后的成绩计入总成绩。
赋分制的含义
新高考下实行等级赋分,让选择同一科的同学进行对比,然后赋分,这样有利于解决因试题难度不同而导致的不公平。
大家首先注意两点:
1.等级赋分制不是按照考生的卷面分数来计算成绩。遵循“原始分数——百分比例——等级——转化分数”的等级赋分路径。
2.等级赋分由相关主管部门自动完成,大家在查询到自己的高考成绩时,看到的已经是赋分后的分数,不需要大家自行换算。
具体换算过程:
1.固定的比例及对应的等级、赋分区间。
以实际参加该科选考人数的成绩为基数,将各考生原始成绩从高到低划分为A、B、C、D、E共5个等级,各等级人数所占比例分别约为15%、35%、35%、13%和2%。

以上的5个等级及各等级对应的比例及赋分区间是事先设定的固定规则,转换后赋分成绩满分为100分,赋分起点为30分。
例1
某学科原始分前15%的考生最高分为100分,最低分为95分,则该学科A等级的原始分区间为【100~95】。
已知A等级赋分区间为【100~86】分(固定不变),
也就是说,原始分【100~95】的考生为A等级,赋分后最终成绩为【100~86】分。
例2
某学科考试成绩最后2%的考生最高分为20分,最低分为5分,则该科目E等级的原始分区间为【20~5】。
已知E等级赋分区间为【40~30】分(固定不变),
也就是说,原始分【20~5】的考生为E等级,赋分后最终成绩为【40~30】分。
极端地讲,假设这个区间某考生原始分为5分,赋分后也能拿到30分。
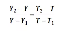
2.等级转换的具体公式:

其中:
Y1、Y2分别表示原始分区间的下限和上限;
T1、T2分别表示转换分区间的下限和上限;
Y表示原始分;
T表示转换分。
考虑到高考分数都以整数呈现,故上述公式的计算结果需要进行“四舍五入”处理。
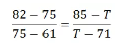
例1
假设小淘同学政治学科原始分为75分,
再假设政治学科B等级原始分区间为【82~61】,
则小淘同学政治学科为B等级;
下面进行赋分换算:
B等级的赋分区间【85~71】(固定不变),
那么小淘同学赋分后分数为:

解得,T≈80.33;四舍五入后小淘同学政治学科最终赋分成绩为80。

例2
假设小淘同学地理学科原始分为75分,
再假设地理学科B等级原始分区间为【88~75】,
则小淘同学地理学科为B等级;
下面进行赋分换算:
B等级的赋分区间【85~71】(固定不变),
小淘同学考了B等级原始分区间的最低分,
所以小淘同学地理学科最终赋分成绩为71。
关于赋分制的其他问题
Q:为什么要采取等级赋分制?
等级赋分能够较好解决学科之间分数不等值、学生选考科目分数不能直接相加参加高校招生录取的问题。如果以原始分呈现考试成绩,会带来学科间不公平问题;等级呈现方式则使得不同学科考生因等级划分而保持了成绩相对均衡,学科间试题难易差异等不公平因素可以被较好消除,使得不同科目之间成绩可以相加。
Q:高考选考科目可以知道卷面的原始分数吗?
高考公布的分数为赋分之后的分数。
Q:赋分和选考人数有关吗?选考人数越多越容易被赋分?
考虑赋分因素要重点注意以下几类情况︰学霸选考越集中,成为炮灰的可能性越大;试题难易程度:试题难度越简单,学霸区的炮灰就会越多。试题越难,学霸越容易和其他人拉开差距,考上名校。赋分模式下,选择人数越多,赋分结果就越趋于合理,选择人数越少,偶然性就会越大。总而言之,赋分制度下不仅要求考生考虑自身的成绩,还要考虑本省其他竞争者的成绩。
Q:赋分制下,如果某一门选考人数特别少怎么办?
这一现象在首批试点的浙江省有出现,采取的措施为设置最低保障基数,当选考人数少于“基数”时,则按照基数人数进行赋分。
Q:新高考改革下,考生交白卷也有60分的成绩?
新高考改革采取赋分制,最高100分,最低30分,如果考生交白卷,实际卷面成绩0分,选科目成绩被排到E等级。那么在等级赋分后,任选科目每科最少也有30分会被计入总成绩,两门任选科目即60分。
Q:新高考改革,选择纯文组合,除了专业选择受限,赋分会吃亏吗?
纯文组合的专业覆盖率偏低,但是赋分的高低主要跟排名有关系,考生如果文科排名很靠前,也有被赋予高分的可能。
Q:新高考有赋分,大学录取的分数线会提高很多吗?
不一定,决定大学录取分数线的因素是考生的投档人数,招生计划等因素,新高考中虽然实行了赋分,但是是所有学生都参与赋分,形成的高考总成绩是不影响录取分数线的。
Q:考生考多少分才能被赋满分?
新高考改革选择等级赋分制,赋分主要看排名,考生排名在前1%,基本上都可以被赋予满分。
Q:新高考实施赋分制,赋分制的合理之处体现在哪?
一是解决了选考科目之间分数不可比的问题;
二是能够最大限度地保证考生的成绩具有良好的区分度,满足高校人才选拔的需求。
Q:历史类考985 211的分数,会比物理类的高吗?
不一定,具体的要看每个学校的专业实力,投档人数,招生计划等因素。
Q:影响考生赋分成绩高低的因素有哪些?
影响考生赋分成绩的因素包括学生排名、选考学生层次、学科及试卷的难易程度、选考人数等。
Q:为什么新高考后很多文科生考高分?
以往文科因此题目较主观的原因,很难得高分或满分,但赋分之后,将成绩分布在各个区间,成绩整体比以前高。
Q:选择冷门学科,在赋分上是不是更占优势?
赋分的高低主要受考生排名的影响,选考人数越多,赋分结果就越趋于合理,选择人数越少,偶然性就会越大,冷门学科选考的人数可能较少,但是能不能被赋予高分还是看考生的实际排名,是否有优势无法准确衡量。
相关推荐:
试题推荐:

点点在线ios版下载课程推荐:(报名热线:400-616818-2)
