今天admw360教研组为大家带来的是2024北京顺义一中高一(下)3月考物理试卷及答案。需要的同学赶紧下载练习起来吧。
导读推荐:2022-2024北京高一(下)3月月考试卷及答案汇总
北京admw360全日制学校:中高考复读,外地回京,艺考生文化课
★咨询电话:400-6168-182 010-62526900
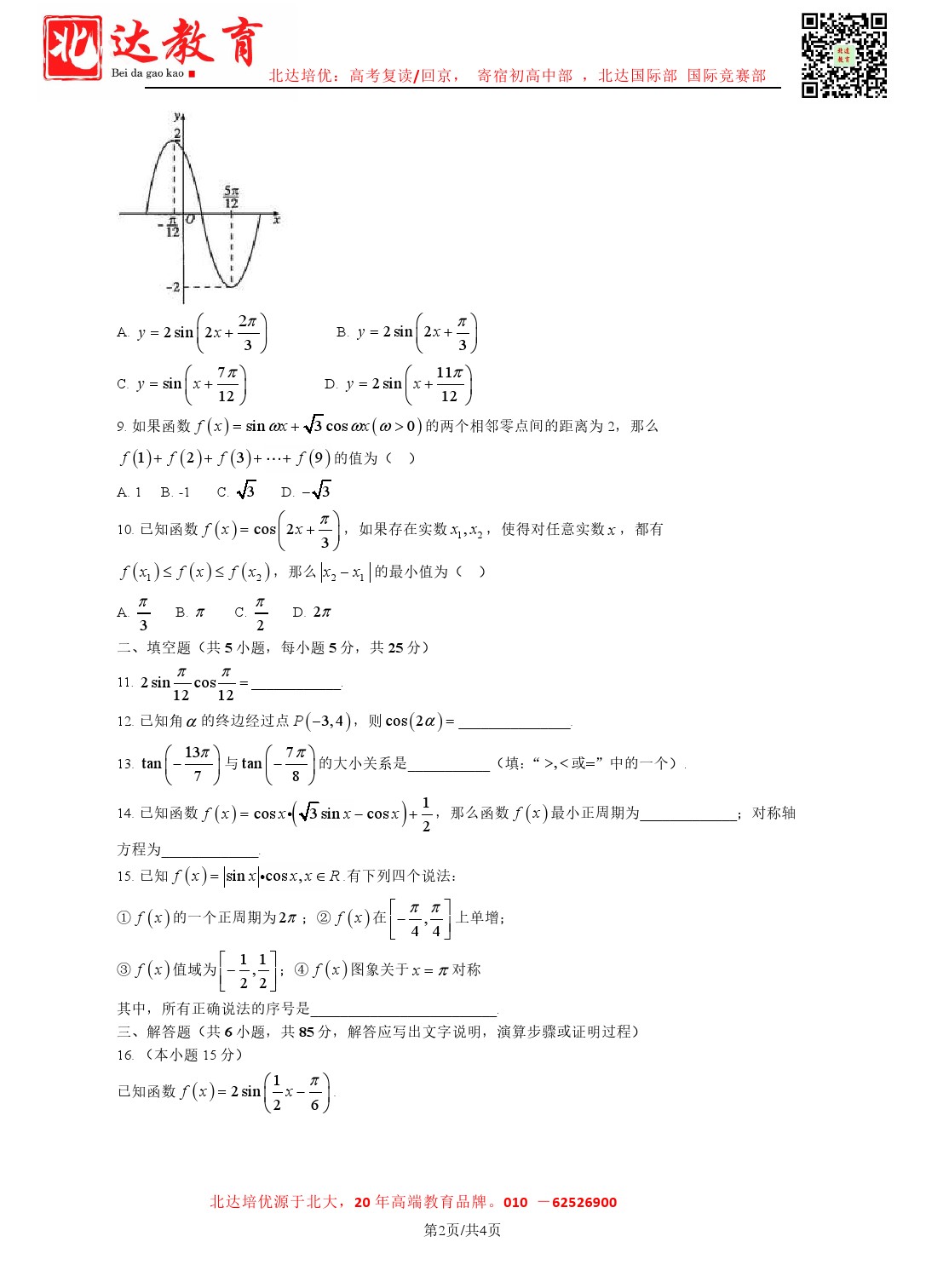
试题预览:

试题及答案下载:http://365.beijing518.com/9736.html
获取更多升学资讯请关注微信公众号
北京全日制复读–外地回京中高考–规划答疑