怀柔一中发布1+3面试名单!附时间安排! admw360中考网为大家整理名单详情,分享给大家。
admw360中学复读,外地回京全日制
★2023中学复读全日制,应届生全日制,外地回京全日制采取择优录取原则。
★招生班级:鸿志班、笃学班、翰林班
★招生对象:往届生、应届生、回京备考生
★目 标:人大附中、北大附中、清华附中、四中等重点高中。
★师 资:多年沉淀海淀中考教师团队授课。
★上课形式:走读全日制,全封闭住宿全日制
★咨询电话:400-6168-182 010-62526900
相关阅读:2023年北京中考1+3项目招生面试名单(市&区级)
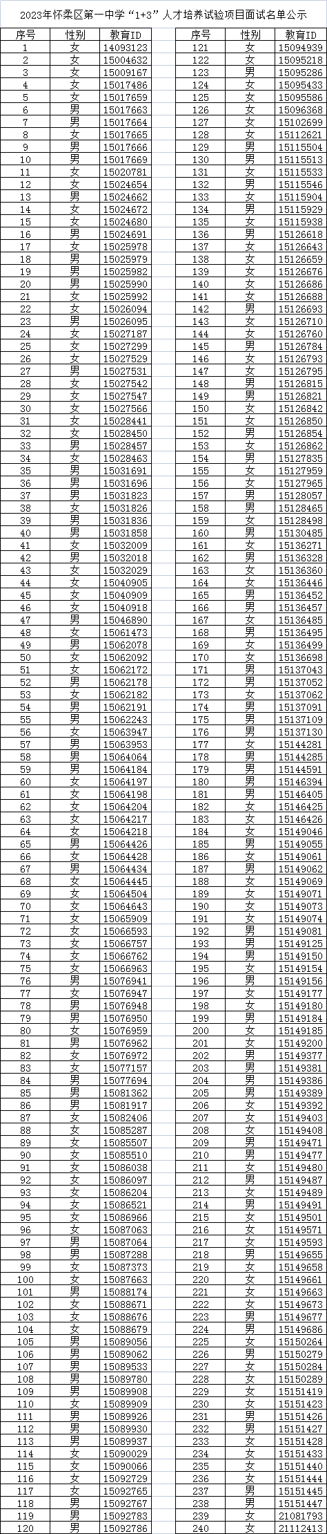
2023怀柔一中1+3面试名单发布了!附时间安排!
祝贺以下同学进入怀柔一中1+3人才培养试验面试环节,请你认真阅读面试须知,按照规定参加面试。
面试须知
1. 时间: 7月20日(星期四) 7:30进入校园,在工作人员引领下到图书馆存包、查看分组情况。
2. 在工作人员引领下进入面试教室,8:00面试正式开始,迟到15分钟学生视为自动放弃面试。
3. 面试学生需携带学生卡(无学生卡的学生带学籍证明和身份证)和黑色字迹签字笔进入面试室,遵守面试纪律,不得携带手机、手环、电子手表等通讯设备。
4.谢绝家长进入校园。为避免交通拥堵,建议家长绿色出行。
5.面试分批次进行,学生面试结束后,根据分组依次离开学校,第一批面试结束时间预计9点,最后一批面试结束预计11点,请家长及时接走学生,注意交通安全。

资讯推荐:
2023年北京各区高中预估录取分数线
北京各区2023年中考一分一段表汇总
2023年北京市中考招生计划
2023北京1+3项目招生简章汇总
2023年北京中考普通高中提前招生简章汇总
2023北京中考各校招生计划汇总
2023北京各学校中招校园开放日汇总
2023年北京各区初三一模区排名汇总
2023北京中考各校实验班(班型/人数/录取线)汇总
2023年北京中考630分以上高中目标校盘点
试题推荐:
2023年北京中考真题及试卷评析汇总
2023北京初二(下)期末试题及答案汇总
2023北京初一(下)期末试题及答案汇总
2023北京各区初二一模地理生物试卷&答案汇总
2023北京各区初二二模试题及答案汇总
2023北京各区初三三模试题及答案汇总
2022年北京中考数学二模试题分类汇编
2022年北京中考一模化学试题分类汇编
2022-2023学年北京各区初一上期末试卷&答案汇总
2022-2023学年北京各区初二上期末试卷&答案汇总
2022-2023学年北京各区初三上期末试卷&答案汇总

更多升学资讯,请扫码关注“admw360看教育”微信公众号 咨询热线:400-6168182

