今天admw360中考网整理汇集了2023北京各区中考普高率统计,分享给大家,东西海朝四区明显!
admw360中学复读,外地回京全日制
★2023中学复读全日制,应届生全日制,外地回京全日制采取择优录取原则。
★招生班级:鸿志班、笃学班、翰林班
★招生对象:往届生、应届生、回京备考生
★目 标:人大附中、北大附中、清华附中、四中等重点高中。
★师 资:多年沉淀海淀中考教师团队授课。
★上课形式:走读全日制,全封闭住宿全日制
★咨询电话:400-6168-182 010-62526900
东西海朝四区中考成绩表现如何?
考试成绩符合正态分布通常被认为是好的,因为正态分布是自然界和社会现象中最常见的分布形式之一,也是统计学中最重要的分布之一。
此次小编仅选取最受关注的东西海朝四区中考数据,通过对四区一分一段表的数据进行检验,可以发现海淀区竞争较其它三区更为激烈,成绩区分度更加明显。西城、朝阳两区学生成绩分布较为均衡,东城区成绩分布函数最接近自然状态函数,即中考成绩较其他三区更符合正态分布,表明其竞争程度相对其他三区稍低。
以下是得出上述观点涉及到的理论内容:
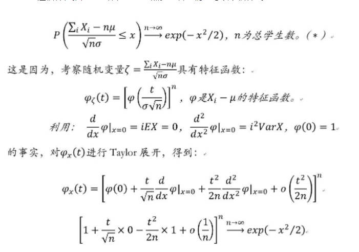
为了检验2023年东西海朝四区学生的中考成绩差异性,小编根据采用概率统计方法对以上四区的成绩数据进行了简单分析。把每位考生视作从城区总体中抽取的一个样本点, 考生的中考成绩即是数值。这样一来,利用重期望公式对各个分数段的成绩进行加权平均(如下),可以得到每个城区的加权平均分数。

接着,我们考虑:若一个考生成绩期望的估计值是:

反应该考生成绩波动的方差是:

排除智力超群等特殊因素,由于学生水平在天然状态下总体上是接近的,就可以将第i位学生的上述估计值推广到总体;反之亦然。接着我们考虑以下估计式:

再应用特征函数收敛与分布函数若收敛之间的充要性,就证明了(*)的估计式。
利用该式,可以对18区成绩进行研究,以观察学生成绩分布函数与自然状态函数,即与标准正态分布N(0,1)的偏离程度。东西海朝四区通过以上公式计算可以得到前述结论,即海淀区竞争更为激烈,西城、朝阳两区学生成绩分布较为均衡,东城区中考成绩更符合正态分布。
东西海朝四区中考成绩呈现“龙卷风”分布?
近日网传的多张北京各区中考成绩分布图呈现出“龙卷风”现象。经对比分析,东西海朝四区的高分段集中,整体形状上宽下窄,“龙卷风”形状更加明显。这从侧面说明,大多数考生的成绩集中在中高分段且相差很小。而成绩较低的人数很少,所以龙卷风的尾部非常明显,形成了一条长长的尾巴。

东西海朝四区的成绩分布呈现出较为清晰的“龙卷风”形状,而其他几个区的“龙卷风”形状则没有那么明显:

今年北京各区中考成绩分布总体上有什么特点?
相对去年,今年各区的中考成绩高分段人数大幅缩水。业内人士指出,相比去年中考成绩分布过于集中,今年中考成绩分布更为合理科学。
中考分数下降既和中考试题难度有关,也和今年阅卷要求更为严格、区分度把握更科学有关。可以预见的是,随着中考成绩整体下调,今年各校录取分数线也将随之下降,北京中考在线将持续关注各高中校的录取分数线。
总的来说,今年的中考成绩分布更加合理和科学,成绩分布趋于平均,各校录取分数线整体下调也是可以预见的。对于非中考学生而言,要时刻保持对自身实力的认知,制定科学合理的备考计划,才能最大限度地发挥自身实力,更加自信地应对未来的挑战。
各区普高录取率
先来看看下面这张各区”参加中考率“的统计表。

需要说明的是,上表中“初三在校生人数”一栏的数据,取自北京市教委发布的《2022-2023学年度北京教育事业发展统计概况》,“参加中考人数”一栏的数据,来自北京教育考试院发布的各区中考一分一段表。
参加中考率=该区参加中考人数/初三在校人数。以昌平、朝阳、顺义、怀柔为例,有超过30%的孩子选择不参加中考,其中一些是非京籍学生,一些可能选择了出国或者其他出路。
根据北京教育考试院官网发布的各区中考一分一段表和招生计划,北京各区考生最终上高中的比例到底是多少?
整体上看,普高录取率超过90%的有:东城区、朝阳区、昌平区、经开区、怀柔区、密云区、顺义区、门头沟区、平谷区;普高录取率在80%-90%的有:海淀区、西城区、石景山区、大兴区、丰台区、通州区、房山区、延庆区;燕山区的普高录取率则接近80%。
值得关注的是,在城八区中,东城的公办普通高中录取率最高,接近90%,结合前文分析东城中考成绩具备良好的正态分布,区内竞争压力相对较小,东城这个传统的教育强区会继续成为不少家长的选择。
而海淀的公办普通高中录取率接近70%。加上海淀堪称知识分子聚居地,生源整体水平较高,因而中考的竞争尤其激烈。但海淀名校林立、教学实力强劲,每年依然吸引了大量家庭在这块教育高地接受教育。而且,海淀还有不少实力强劲且名额较多的民办学校和国际部。算上统招民办和统招国际的学生人数后,海淀最终的普高录取率可以接近90%。
西城的公办普通高中录取率接近85%,算上统招民办和统招国际的学生人数后,西城最终的普高录取率接近87%。西城近几年学位日渐紧张,参加中考的人数过多,资源较之前稍显紧张,因而普高录取率有所下降。
朝阳教育势头发展迅猛,教育教学水平逐步增强,今年扩招人数又是各区最多,因而普高率数据也比较漂亮。我们期待明年朝阳是否还能保持这样的扩招力度。
大兴、丰台两区和朝阳有些类似,近两年大力发展优质教育,教育布局全面完善,增加学位供给,普高率表现亮眼。
此外,昌平、怀柔、平谷等区的普高率超过了100%,公办校和民办校一起为考生提供了充足的学位。
未来几年中招的趋势及变化
考生人数逐年增加
最近几年,北京初中毕业生人数一直呈大幅度增长的趋势。未来几年,增长趋势会持续下去。
据了解,2023北京16区初三在校人数是113888人,2022年发布的数据中初三在校生人数是108281人。2023年较去年增加5607人。

另外,据北京市教委发布的《2022-2023学年度北京教育事业发展统计概况》显示,初中在校生呈现逐年增加的趋势,今年初三在校生有11余万人,明年毕业生逼近12万,后年则超过12万,而2023年北京六年级在校生则直接增至146014人。

现阶段北京16区六年级在校生为146014人,去年为133095人,增加了12919人。对比小学各个年级的人数,可以看到学生人数整体仍在高位增长态势。

业内人士分析,随着未来较长一段时间北京中考考生人数快速增加,中招压力会逐年加剧,想上普高可能会越来越难。但是,等到这波人口高峰过去,中招压力自然会有所缓解。
中招规模呈扩大趋势
2023年北京中考基本已落下帷幕。虽然明年的中招计划和实际参加中考的考生数据还没有出来,但明年初三在校生人数比今年增加5556人,可以预见的是,明年中考的竞争将更加激烈。
在初中毕业生人数持续上涨的同时,如果想维持较高的普高率,就势必要进行普高扩招。
据了解,北京今年整体扩招6000多人。以朝阳为例,朝阳区是今年扩招规模最大的一个区。虽然朝阳今年中考增加人数和中招扩招人数基本持平,但普高不可能无限扩招下去。学生和家长与其盼着普高扩招,不如向内寻求答案。学生提早想清楚喜欢什么、适合什么,然后选择一条适合自己未来发展的道路。
资讯推荐:
2023北京1+3项目面试、录取名单汇总(市&区级)
2023年北京各区高中预估录取分数线
北京各区2023年中考一分一段表汇总
2023年北京市中考招生计划
2023北京1+3项目招生简章汇总
2023年北京中考普通高中提前招生简章汇总
2023北京中考各校招生计划汇总
2023北京各学校中招校园开放日汇总
2023年北京各区初三一模区排名汇总
2023北京中考各校实验班(班型/人数/录取线)汇总
2023年北京中考630分以上高中目标校盘点
试题推荐:
2023年北京中考真题及试卷评析汇总
2023北京初二(下)期末试题及答案汇总
2023北京初一(下)期末试题及答案汇总
2023北京各区初二一模地理生物试卷&答案汇总
2023北京各区初二二模试题及答案汇总
2023北京各区初三三模试题及答案汇总
2022年北京中考数学二模试题分类汇编
2022年北京中考一模化学试题分类汇编
2022-2023学年北京各区初一上期末试卷&答案汇总
2022-2023学年北京各区初二上期末试卷&答案汇总
2022-2023学年北京各区初三上期末试卷&答案汇总

更多升学资讯,请扫码关注“admw360看教育”微信公众号 咨询热线:400-6168182

