市级统筹是北京中考升学的一种升学途径,主要是针对各区的一些尖子生,如果你的成绩比较优秀,且想要报考t其他区top高中可以考虑市级统筹,2023年市级统筹的招生计划暂未出炉,根据往年经验 市级统筹招生计划不会发生太大变化 ,可参考往年招生信息。
市级统筹一共分为三类,每一类的招生学校和计划都是不同的,以下为2022年市级统筹的招生计划,初二初一考生也可提前参考!
跨区进入优质高中的机会,适合各区中考排名靠前、学校排名靠前的尖子生。(东西海三区除外)2022年中考共有15所学校拿出405个名额↓↓↓下图为大家陈列市级统筹一的招生学校&招生计划
| 2022北京中考市级统筹一招生计划 | |||||||||||||||||||
| 区 | 学校 | 专业代码 | 专业名称 | 招生地区及人数 | |||||||||||||||
| 合计 | 朝阳 | 丰台 | 石景山 | 门头沟 | 燕山 | 房山 | 通州 | 顺义 | 昌平 | 大兴 | 怀柔 | 平谷 | 密云 | 延庆 | 经开 | ||||
| 东城 | 北京五中 | 20 | 普通班 | 23 | 4 | 1 | 1 | 1 | 3 | 3 | 4 | 3 | 1 | 1 | 1 | ||||
| 汇文中学 | 20 | 普通班 | 24 | 4 | 1 | 1 | 1 | 2 | 3 | 2 | 3 | 3 | 1 | 1 | 1 | 1 | |||
| 西城 | 北京四中 | 20 | 普通班 | 30 | 3 | 3 | 1 | 2 | 1 | 4 | 2 | 2 | 4 | 2 | 1 | 2 | 1 | 1 | 1 |
| 北京八中 | 20 | 普通班 | 30 | 4 | 3 | 1 | 2 | 4 | 3 | 2 | 3 | 2 | 1 | 1 | 2 | 2 | |||
| 北师大附中 | 20 | 普通班 | 30 | 4 | 3 | 1 | 2 | 1 | 4 | 2 | 5 | 2 | 1 | 1 | 2 | 2 | |||
| 北师大二附中 | 20 | 普通班 | 30 | 4 | 3 | 2 | 1 | 4 | 2 | 1 | 4 | 2 | 2 | 1 | 2 | 2 | |||
| 北师大附属实脸 | 20 | 普通班 | 30 | 5 | 3 | 2 | 1 | 3 | 2 | 2 | 3 | 3 | 1 | 2 | 2 | 1 | |||
| 朝阳 | 北京八十中 | 20 | 普通班 | 25 | 5 | 1 | 1 | 1 | 2 | 1 | 4 | 3 | 2 | 1 | 3 | 1 | |||
| 陈经纶中学 | 20 | 普通班 | 23 | 3 | 2 | 1 | 2 | 2 | 2 | 3 | 3 | 1 | 1 | 2 | 1 | ||||
| 丰台区 | 北京十二中 | 20 | 普通班 | 30 | 3 | 10 | 1 | 1 | 3 | 2 | 2 | 3 | 1 | 1 | 2 | 1 | |||
| 海淀 | 人大附中 | 20 | 普通班 | 25 | 5 | 3 | 1 | 1 | 1 | 3 | 2 | 1 | 2 | 2 | 1 | 1 | 1 | 1 | |
| 北大附中 | 20 | 普通班 | 25 | 5 | 2 | 1 | 1 | 3 | 2 | 2 | 2 | 2 | 1 | 1 | 2 | 1 | |||
| 清华附中 | 20 | 普通班 | 25 | 5 | 2 | 1 | 1 | 3 | 2 | 2 | 3 | 2 | 1 | 1 | 1 | 1 | |||
| 一0—中学 | 20 | 普通班 | 30 | 5 | 2 | 2 | 1 | 3 | 2 | 2 | 5 | 3 | 2 | 2 | 1 | ||||
| 顺义 | 顺义牛栏山一中 | 20 | 普通班 | 25 | 3 | 2 | 2 | 3 | 3 | 1 | 3 | 2 | 4 | 2 | |||||
☆☆特别提醒:
需要注意的是,市级统筹一不面向东西海三区招生,所以东西海三区的考生不能通过市级统筹一途径跨区升学。
2022年中考共有9所高中拿出1214个名额用于统筹二的招生,比2021年增加62个名额,以下为2022年市级统筹二招生计划详情↓↓↓
| 2022北京中考市级统筹二招生计划 | ||||||||||||||||||||||
| 区 | 学校 | 专业代码 | 专业名称 | 招生地区及人数 | ||||||||||||||||||
| 合计 | 东城 | 西城 | 朝阳 | 丰台 | 石景山 | 海淀 | 门头沟 | 燕山 | 房山 | 通州 | 顺义 | 昌平 | 大兴 | 怀柔 | 平谷 | 密云 | 延庆 | 经开 | ||||
| 丰台区 | 人大附丰台学校 | 30 | 普通班 | 80 | 2 | 4 | 2 | 20 | 2 | 8 | 2 | 2 | 32 | 4 | 2 | |||||||
| 石景山 | 人大附石景山学校 | 30 | 普通班 | 120 | 4 | 10 | 5 | 5 | 39 | 20 | 5 | 2 | 10 | 2 | 3 | 13 | 2 | |||||
| 海淀 | 人大附 | 30 | 普通班 | 230 | 18 | 3 | 18 | 2 | 2 | 83 | 3 | 40 | 11 | 23 | 10 | 5 | 2 | 7 | 3 | |||
| 清华附 | 30 | 普通班 | 90 | 6 | 7 | 19 | 8 | 2 | 17 | 4 | 3 | 7 | 6 | 8 | 1 | 1 | 1 | |||||
| 31 | 普通班 | 60 | 5 | 5 | 9 | 9 | 2 | 4 | 2 | 6 | 3 | 6 | 4 | 1 | 3 | 1 | ||||||
| 中央民族大学附中 | 30 | 普通班 | 102 | 9 | 10 | 20 | 10 | 20 | 2 | 2 | 3 | 2 | 5 | 5 | 3 | 1 | 2 | 2 | 2 | 4 | ||
| 门头沟 | 北京八中京西校区 | 30 | 普通班 | 130 | 3 | 27 | 8 | 4 | 9 | 15 | 30 | 8 | 10 | 1 | 6 | 5 | 2 | 2 | ||||
| 昌平 | 北师大二附中未来科技城学校 | 30 | 普通班 | 100 | 15 | 15 | 15 | 5 | 15 | 5 | 5 | 5 | 5 | 5 | 5 | 5 | ||||||
| 平谷 | 北京实验学校 | 30 | 普通班 | 140 | 32 | 3 | 9 | 18 | 24 | 7 | 15 | 24 | 6 | 2 | ||||||||
| 北师大附平谷第一分校 | 30 | 普通班 | 162 | 2 | 10 | 3 | 1 | 15 | 4 | 11 | 1 | 115 | ||||||||||
温馨提示:
这些学校都是各优质高中在各区的分校,顶着名校分校的头衔也是非常吸引眼球的。所以每年各区报考这些学校的人数也不少。
部分艺术、体育类高校与6所普通高中联合针对未来想走艺术类的考生的招生计划,2022年中考共有6所高中拿出330个名额用于统筹三的招生,以下为2022年市级统筹三招生计划详情↓↓↓
| 2022北京中考市级统筹三招生计划 | ||||||||||||||||||||||
| 区 | 学校 | 专业代码 | 专业名称 | 招生地区及人数 | ||||||||||||||||||
| 合计 | 东城 | 西城 | 朝阳 | 丰台 | 石景山 | 海淀 | 门头沟 | 燕山 | 房山 | 通州 | 顺义 | 昌平 | 大兴 | 怀柔 | 平谷 | 密云 | 延庆 | 经开 | ||||
| 西城 | 徐悲鸿中学 | 40 | 普通班 | 70 | 9 | 12 | 4 | 4 | 9 | 2 | 1 | 1 | 1 | 7 | 3 | 4 | 3 | 3 | 3 | 3 | 1 | |
| 朝阳 | 对外经济贸易大学附属中学(北京第九十四中学) | 40 | 普通班 | 80 | 2 | 52 | 2 | 6 | 1 | 16 | 1 | |||||||||||
| 丰台 | 北京第十八中 | 40 | 普通班 | 30 | 3 | 4 | 2 | 10 | 8 | 2 | 1 | |||||||||||
| 中国教育科学研究院丰台实验学校 | 40 | 普通班 | 40 | 9 | 13 | 7 | 7 | 1 | 3 | |||||||||||||
| 海淀 | 理工附 | 40 | 普通班 | 30 | 4 | 5 | 1 | 11 | 1 | 2 | 2 | 2 | 2 | |||||||||
| 北京海淀实验中学 | 40 | 普通班 | 80 | 8 | 8 | 21 | 2 | 2 | 6 | 7 | 7 | 4 | 3 | 4 | 3 | 4 | 1 | |||||
温馨提醒:
各个学校在招生计划中会明确写明招生专业,考生在报考志愿的时候不要填错专业代码。往年就有考生错报了某市级统筹三学校的体育专业,追悔莫及。
1、有北京中考升学资格:通常是指京籍考生和非京籍九类人;
2、有同一所学校连续3年的学籍;
3、中考分数在570分以上。
4、综合素质评价达到B等及以上
☆☆特别提醒:
四个条件缺一不可。只有这四个条件都具备了,你才能在校额到校志愿批次报考市级统筹的学校。
更多升学资讯,请扫码关注“admw360看教育”微信公众号 咨询热线:400-6168182


★2022中考复读全日制,应届生全日制,外地回京全日制采取择优录取原则。
★招生班级:鸿志班、笃学班、翰林班
★招生对象:京籍全日制:中复生,京籍回京,初一至初二全日制
非京籍全日制:天津河北等省高考生,初一至初二全日制
★目 标:人大附中、北大附中、清华附中、四中等重点高中。
★师 资:多年沉淀海淀中考教师团队授课。
★上课形式:走读全日制,全封闭住宿全日制
★咨询电话:400-6168-182 010-62526900
市级统筹是为了加强对优质高中教育资源的统筹力度,充分发挥部属高校附中作用,进一步扩大本市普通高中优质教育资源,引导全市义务教育均衡发展建立的市级优质高中教育资源统筹工作机制。通俗点说就是:市级统筹是跨区报考的重要途径。
2、有同一所学校连续3年的学籍,应届生;
3、中考分数在570分以上;
4、综合素质评价达到B等级以上。
注:以上四个条件缺一不可。

2022年中考共有9所高中拿出1214个名额用于统筹二的招生,以下为2022年市级统筹二招生计划详情:

2022年中考共有6所高中拿出330个名额用于统筹三的招生:

试题推荐:

更多升学资讯,请扫码下载admw360教育官网、中高考网APP, 咨询热线:400-6168182

★2022中考复读全日制,应届生全日制,外地回京全日制采取择优录取原则。
★招生班级:鸿志班、笃学班、翰林班
★招生对象:京籍全日制:中复生,京籍回京,初一至初二全日制
非京籍全日制:天津河北等省高考生,初一至初二全日制
★目 标:人大附中、北大附中、清华附中、四中等重点高中。
★师 资:多年沉淀海淀中考教师团队授课。
★上课形式:走读全日制,全封闭住宿全日制
★咨询电话:400-6168-182 010-62526900
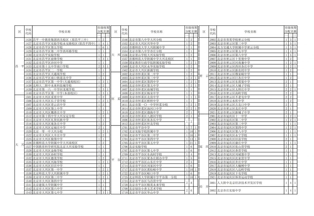
2022年初中学校市级统筹分配名额




试题推荐:

更多升学资讯,请扫码下载admw360教育官网、中高考网APP, 咨询热线:400-6168182

★2022中考复读全日制,应届生全日制,外地回京全日制采取择优录取原则。
★招生班级:鸿志班、笃学班、翰林班
★招生对象:京籍全日制:中复生,京籍回京,初一至初二全日制
非京籍全日制:天津河北等省高考生,初一至初二全日制
★目 标:人大附中、北大附中、清华附中、四中等重点高中。
★师 资:多年沉淀海淀中考教师团队授课。
★上课形式:走读全日制,全封闭住宿全日制
★咨询电话:400-6168-182 010-62526900
2022年市级优质高中教育资源统筹三招生计划

试题推荐:

更多升学资讯,请扫码下载admw360教育官网、中高考网APP, 咨询热线:400-6168182

★2022中考复读全日制,应届生全日制,外地回京全日制采取择优录取原则。
★招生班级:鸿志班、笃学班、翰林班
★招生对象:京籍全日制:中复生,京籍回京,初一至初二全日制
非京籍全日制:天津河北等省高考生,初一至初二全日制
★目 标:人大附中、北大附中、清华附中、四中等重点高中。
★师 资:多年沉淀海淀中考教师团队授课。
★上课形式:走读全日制,全封闭住宿全日制
★咨询电话:400-6168-182 010-62526900
2022年市级优质高中教育资源统筹二招生计划


试题推荐:

更多升学资讯,请扫码下载admw360教育官网、中高考网APP, 咨询热线:400-6168182

★2022中考复读全日制,应届生全日制,外地回京全日制采取择优录取原则。
★招生班级:鸿志班、笃学班、翰林班
★招生对象:京籍全日制:中复生,京籍回京,初一至初二全日制
非京籍全日制:天津河北等省高考生,初一至初二全日制
★目 标:人大附中、北大附中、清华附中、四中等重点高中。
★师 资:多年沉淀海淀中考教师团队授课。
★上课形式:走读全日制,全封闭住宿全日制
★咨询电话:400-6168-182 010-62526900
2022年市级优质高中教育资源统筹一招生计划


试题推荐:

更多升学资讯,请扫码下载admw360教育官网、中高考网APP, 咨询热线:400-6168182

★2022中考复读全日制,应届生全日制,外地回京全日制采取择优录取原则。
★招生班级:鸿志班、笃行班、翰林班
★招生对象:京籍全日制:中复生,京籍回京,初一至初二全日制
非京籍全日制:天津河北等省高考生,初一至初二全日制
★目 标:人大附中、北大附中、清华附中、四中等重点高中。
★师 资:多年沉淀海淀中考教师团队授课。
★上课形式:走读全日制,全封闭住宿全日制
★咨询电话:010-62526900 400-6168182
一、什么是市级统筹
通俗点说就是:市级统筹是跨区报考的重要途径。
二、市级统筹的报考条件
2、有同一所学校连续3年的学籍;
3、中考分数在570分以上。
4、综合素质评价达到B等 及以上。
提示:
四个条件缺一不可。只有这四个条件都具备了,你才能在校额到校志愿批次报考市级统筹的学校。
三、市级统筹有哪些学校
市级统筹一共分为三类,每一类的招生学校和计划都是不同的,以下是2021年市级统筹的招生计划,2022考生可参考!
市级统筹一:跨区进入优质高中的机会,适合各区中考排名靠前、学校排名靠前的尖子生。(东西海三区除外)2021年中考共有15所学校拿出405个名额

提示:
需要注意的是,市级统筹一不面向东西海三区招生,所以东西海三区的考生不能通过市级统筹一途径跨区升学。
市级统筹二:全市9所优质高中分校分校在各区招生
2021年中考共有9所高中拿出1152个名额用于统筹二的招生,以下为2021年市级统筹二招生计划详情:

提示:
这些学校都是各优质高中在各区的分校,顶着名校分校的头衔也是非常吸引眼球的。所以每年各区报考这些学校的人数也不少。
市级统筹三:部分艺术、体育类高校与6所普通高中联合针对未来想走艺术类的考生的招生计划。
2021年中考共有6所高中拿出330个名额用于统筹三的招生。

提示:
各个学校在招生计划中会明确写明招生专业,考生在报考志愿的时候不要填错专业代码。往年就有考生错报了某市级统筹三学校的体育专业,追悔莫及。
四、哪些学校的考生可以报考
那么,如何得知自己学校是否有市级统筹名额呢?
每年的招生简章都会为初中校市级统筹分配名额表,对照这个表,可以知道每所初中校有多少市级统筹名额。
五、市级统筹如何录取考生
北京中考招生计划中,市级统筹计划是具体分配到各区各个初中校的,除了市级统筹一不在东西海三区分配招生计划外,其它区的各个初中校基本上都能得到1个、2个或3个以上的名额,部分初中校共用1个名额,具体看招生计划。
2、市级统筹录取原则为分分清
北京中考录取规则就是“分分清”原则,所以市级统筹也是分分清原则。具体操作方法如下:
对于同一个批次所有报考考生而言:
计算机依据考生总分从高分到低分排序的先后顺序依次对考生进行录取,排序在前的考生志愿没处理完,不会处理下一个考生的志愿。
对于考生自己而言:
按志愿顺序录取。从第一志愿到第八志愿,所以要把分数线高的学校/专业放在前面。
3、市级统筹既要看区排名还要看校排名
在校额到校批次录取市级统筹类的考生时,先将所有未被录取的考生按高分到低分排列,再按照考生的志愿从第一志愿一直录取到第八志愿。由于市级统筹是分配到校的,所以要想被市级统筹录取,既要看区排名,又要看校排名。
举例说明:
2021年北京五中在通州区的市级统筹一计划为3人。
A、B、C、D考生是通州区前四名,他们均在市级统筹一报考了北京五中,其中AB考生属同一所初中校,该初中校只有1个市级统筹一名额,那么A同学被五中录取,B同学没有被五中录取;
所以最后A、C、D同学被五中录取。
这里需要注意的就是,虽然根据区排名B同学的成绩高于C、D考生,但由于其所在学校只有1个名额,而他在学校排名第二,所以他也不能被五中录取。
六、市级统筹其他相关问题
1、优质初中校考生可以报考市级统筹吗?
只要你有校额到校报考资格,你们学校有市级统筹名额,就可以报考。往年部分优质初中校有市级统筹名额。
2、私立初中校考生可以报市级统筹吗?
只要你有校额到校报考资格,你们学校有市级统筹名额,就可以报考。往年部分私立初中校有市级统筹名额。
3、市级统筹中的“双培计划”和“外培计划”的培养模式是怎样的?
参加统筹二、三的学校都为部分优质高中新建、扩建校区或城乡一体化学校。学生艺术体育素养测试合格后,经高考录取到有“双培计划”或“外培计划”的市属高校时,可申请转入该校“双培计划”或“外培计划”。
对此类考生而言,无异于增加了一次享受优质教育资源的机会。如统筹二和统筹三考生,经过三年学习后艺术素养考核合格,高考分数达到北京工业大学的录取分数线,但并不够北工大“双培计划”的录取分数线,在被北工大录取后,也可申请进入该校的“双培计划”。
4、与高校联合培养艺术素养班对考生报考有何限制,是否要具备艺术基础?是否需要加试?
报考没有额外限制,不需具备艺术基础,也不要加试。
艺术素养班学生在校期间的艺术类课程将依据培养方案,由对应的大学联合培养,如北京市第十八中学的艺术素养课程就由中央音乐学院负责。艺术素养不是指某种特定的艺术能力,不是培养纯粹的艺术类人才,如绘画、音乐等,而是指一种艺术水平和修养。
设置艺术素养班是因为目前我国缺乏艺术素养人才,而将来社会需要的人才不仅要求关注某一专业领域,同时也需要具备一定的艺术修养。

更多升学资讯,请扫码关注“admw360看教育”微信公众号 咨询热线:400-6168182

★2021中考复读全日制,应届生全日制,外地回京全日制采取择优录取原则。
★招生班级:鸿志班、笃行班、翰林班
★招生对象:往届生、应届生、回京备考生
★目 标:人大附中、北大附中、清华附中、四中等重点高中。
★师 资:多年沉淀海淀中考教师团队授课。
★上课形式:全日制
★咨询电话:010-62526900 400-6168182
在了解北京什么样的学生适合报考市级统筹之前,我们先要知道什么是市级统筹?
根据百度百科定义:市级统筹是为了加强市级对优质高中教育资源的统筹力度,充分发挥部属高校附中作用,进一步扩大普通高中优质教育资源,引导全市义务教育均衡发展建立的市级优质高中教育资源统筹工作机制。

报考北京市级统筹类院校需要满足的条件有:具有北京中考升学资格;具有同一所学校连续三年学籍;中考成绩在570分以上;综合素质评价达到B等级以上。
只要学生能够满足上述四个条件,那么无论学生是私立初中学生,还是公办初中学生,那么只要学生所在学校有市级统筹名额,那么学生就可以报考市级统筹志愿。
北京市级统筹院校如何报志愿?填报志愿时,市级统筹计划在校额到校批次,因此如果学生符合市级统筹报考条件,那么在填报志愿时只需在校额到校批次填写即可,校额到校共设8个志愿,每个志愿学校可填报2个专业。
更多升学资讯,请扫码关注“admw360看教育”微信公众号 咨询热线:400-6168182
